Предмет: Математика, автор: liyarak

срочноооооо помогите​

Приложения:

dnepr1: А в чём задание состоит???

Ответы

Автор ответа: alesyaperova
0

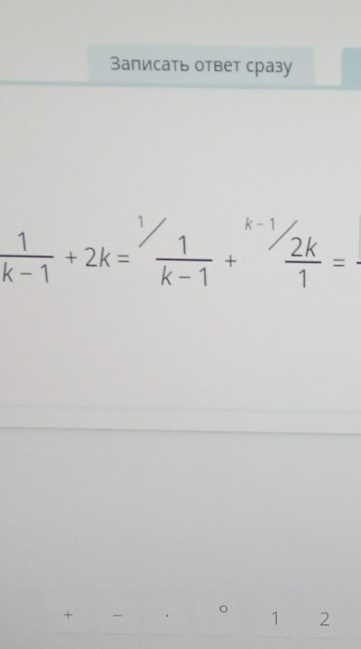
Ответ:

 \frac{1}{k - 1}  +  \frac{2k(k - 1)}{k - 1}  =  \frac{1 + 2 {k}^{2} - 2k }{ k - 1}  =  \frac{2 {k}^{2} - 2k + 1 }{k - 1}

Похожие вопросы
Предмет: Математика, автор: жук96
Предмет: Литература, автор: skaq