Предмет: Физика,
автор: nxiusha83
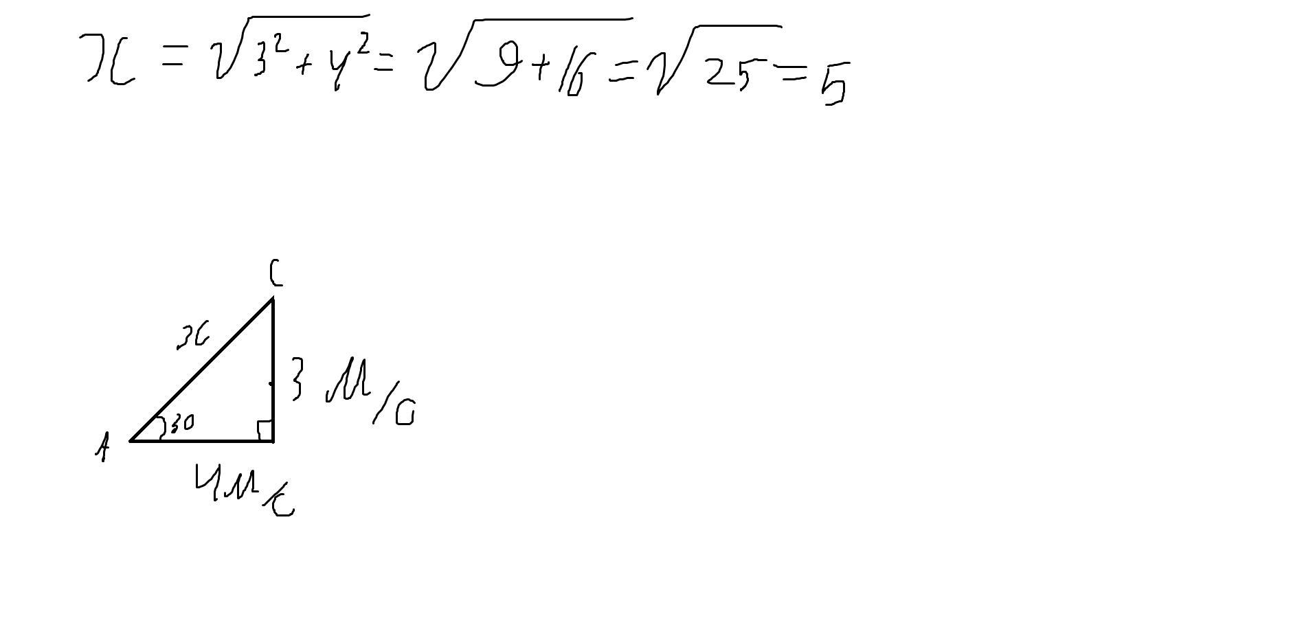
Лодка, обладающая скоростью 3 м/с, плывет под углом 30 градусов по отношению к берегу, скорость реки равна 4 м/с. Определить скорость лодки относительно берега.
Ответы
Автор ответа:
0
Ответ:
Решение тут
Объяснение:
x=корень из 3^2+4^2= корень из 9+16= 5
Приложения:
Похожие вопросы
Предмет: Другие предметы,
автор: vikakonatova
Предмет: Русский язык,
автор: танюхих
Предмет: Английский язык,
автор: Nastya5161
Предмет: Математика,
автор: esmirakagraman