Предмет: Алгебра,
автор: minkaeva
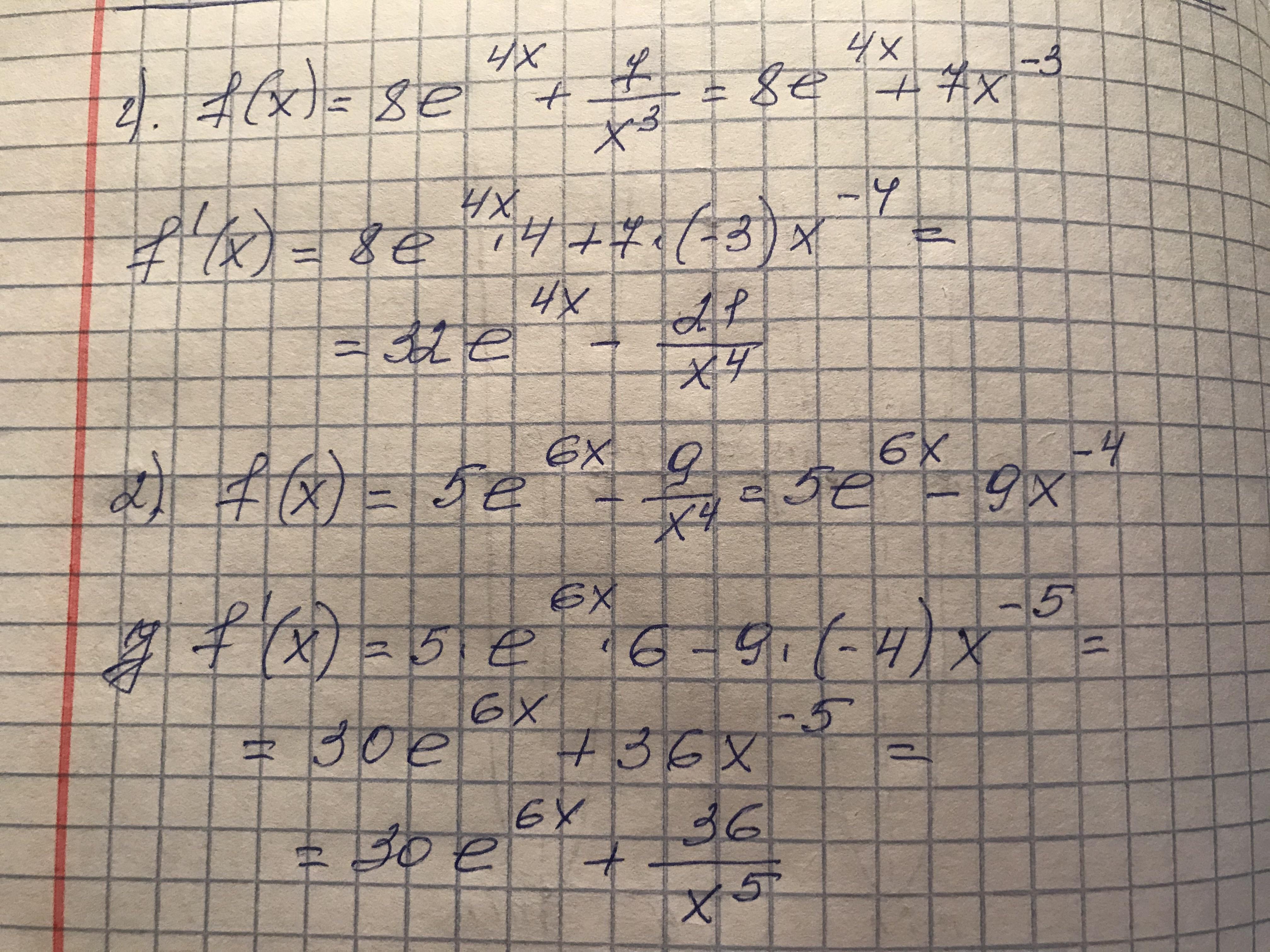
Помогите найти производную функцию
Приложения:
Ответы
Автор ответа:
1
Ответ:
===================================
Объяснение:
Приложения:
Похожие вопросы
Предмет: Русский язык,
автор: Pan007
Предмет: Английский язык,
автор: korotovskikh810
Предмет: Русский язык,
автор: makar20033
Предмет: Химия,
автор: ekaterinas3430
Предмет: Математика,
автор: ulyanovamilana