Предмет: Алгебра, автор: MAle2

Найди область определения выражения
Выбери правильный вариант ответа:

Приложения:

Ответы

Автор ответа: karasuno8
1

Ответ:

1

Объяснение:

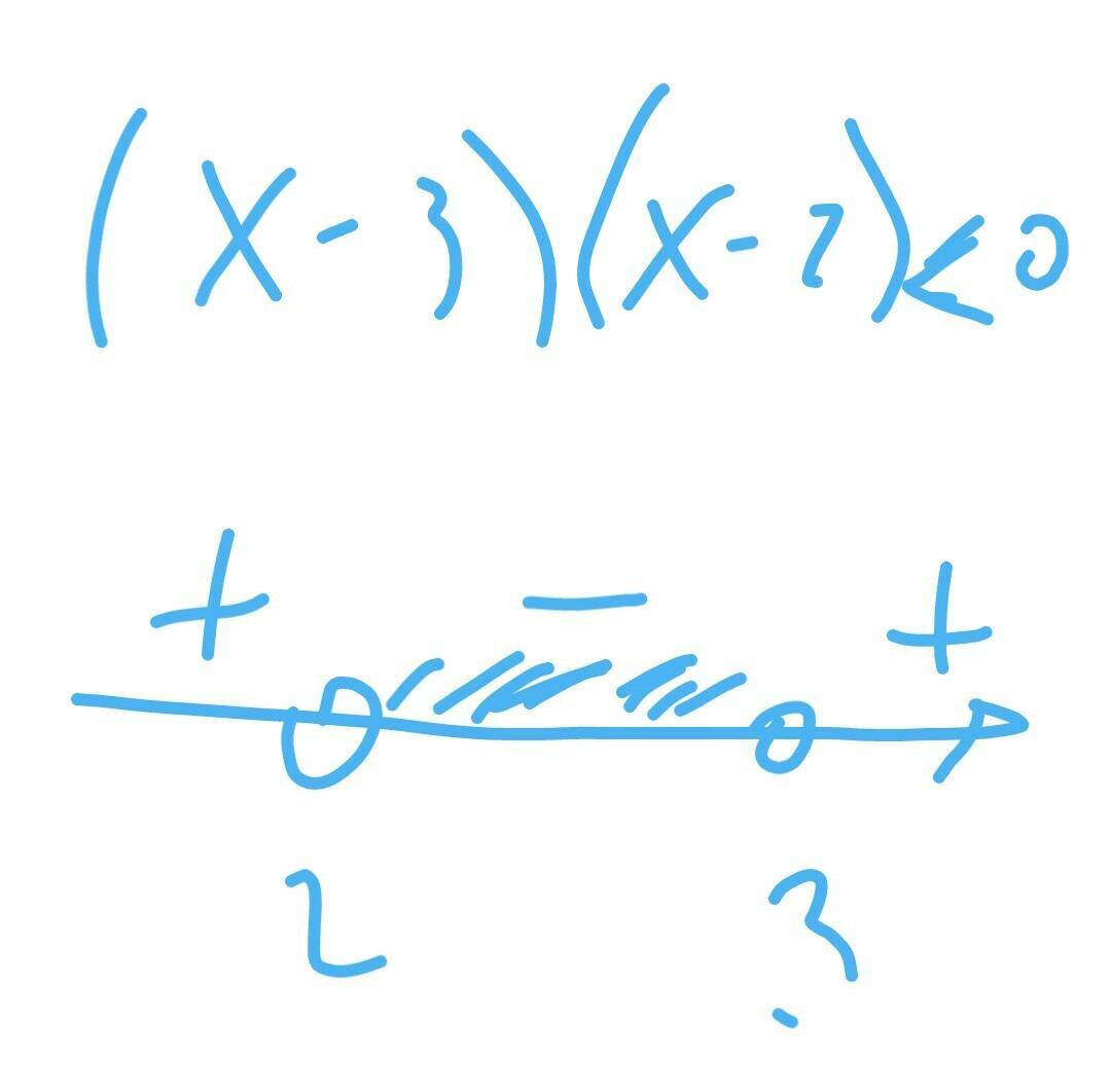
5x-x^2-6>0

x^2-5x+6<0

D=25-24=1

x1=(5+1)/2=3;x2=(5-1)/2=4

(x-3)(x-2)<0

Приложения:
Похожие вопросы
Предмет: Русский язык, автор: lalkaazaa
Сократить текс.
Познакомились мы на рыбалке, понравились друг другу и стали встречаться примерно
раз в неделю.
Это был редчайшей душевной тонкости человек. Его коллеги говорили, что он
первоклассный биолог, гордость института.
Друзья считали его необыкновенно доверчивым человеком. Я тоже видел это и никак не
мог понять до конца. Что это? Львиная храбрость духа, который не боится ударов жизни
и не выставляет никаких сторожевых постов? Обаяние натуры щедрой, доброй, никогда
не стремящейся выскочить вперёд и отцапать побольше от жизни и поэтому не
наживающей себе врагов? Думаю, и то и это.
Вариант лжи и зла просто никогда не приходил ему в голову. Разумеется, бывали люди,
которые его обманывали или подводили с низкими, корыстными целями. К таким людям
он испытывал потом хроническое отвращение. Он им не мстил, но прощения им не было
во веки веков. Это была какая-то музыкальная злопамятность.
Однажды в компании речь зашла об одном известном в городе человеке, который
почти насильно запихнул свою мать в дом престарелых.
« А что вы удивляетесь?- сказал мой друг. Я с ним учился в школе. Этот негодяй в
седьмом классе бросил кошку с третьего этажа».
Приходя ко мне домой, он обычно рассказывал забавные истории о самом себе, своих
коллегах-чудаках, о должниках – а одалживал он на право и налево. Особенно много
рассказывал он о своём профсоюзном боссе.
Однажды мой друг сидел в заполненном автобусе, и шофёр уже закрыл дверь, когда он
заметил в толпе осаждающих автобус профсоюзного босса. Тот, потрясая высоко
поднятым портфелем, давал знать шофёру, что важность содержимого требует
немедленной доставки портфеля совместно с его владельцем.
Шофёр некоторое время держался, а потом его сердце дрогнуло, и он открыл дверь,
куда хлынули люди.
Как только профсоюзный босс очутился в автобусе, он немедленно стал ругать шофёра
за то, что тот впускает людей в переполненный транспорт. « Классический пример
разорванности сознания», -хохоча заключил он свой рассказ.
Но больше всего я любил наши разговоры с ним после рыбалки. Мы говорили с ним о
Средиземноморье, о золотом сне Новгорода, о влиянии мутагенных веществ на
наследственные процессы, об искусстве 20 века, о сочинениях Платона, об интуиции
Столыпина.
Как же я любил его в эти часы! «Нет, - думал я, - не может сгинуть страна, в которой
есть такие люди!»