Предмет: Алгебра,
автор: doge11299
Помогите пожайлуста!
Приложения:
Ответы
Автор ответа:
0
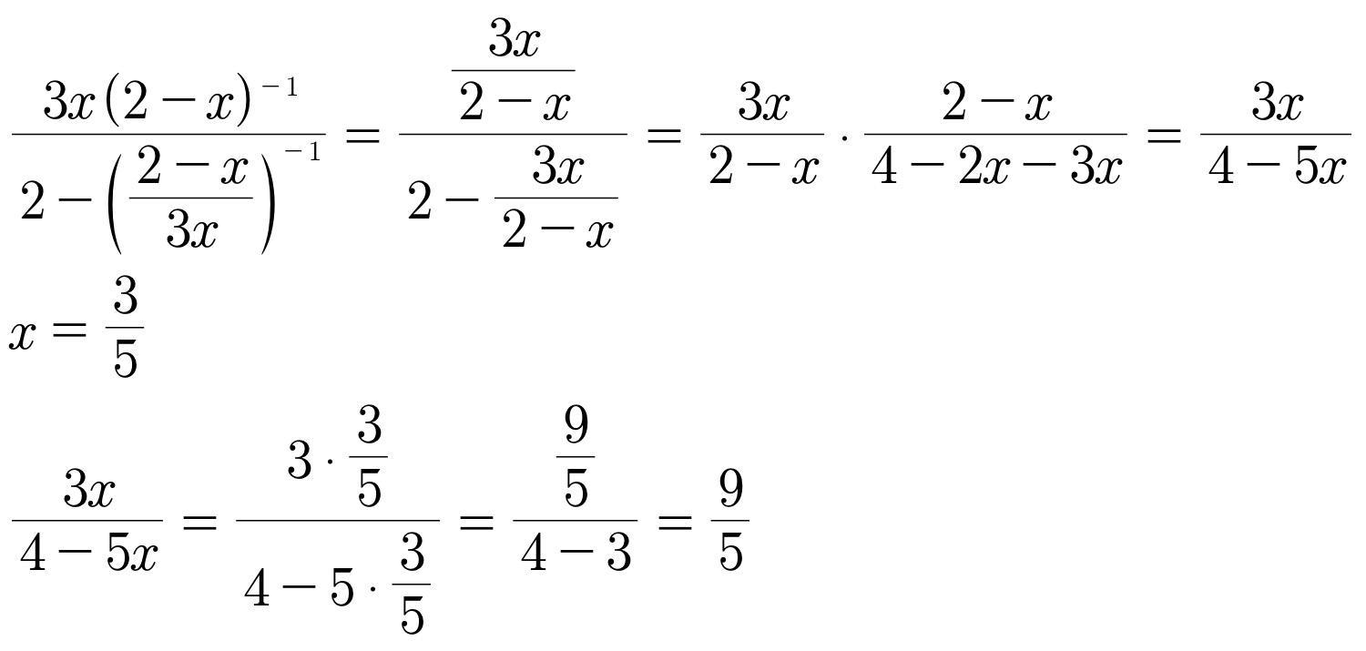
Ответ:
9/5
Объяснение:
.......................................................
Приложения:
Похожие вопросы
Предмет: Английский язык,
автор: sasha564555
Предмет: Русский язык,
автор: KrIsTiNkA12389
Предмет: Английский язык,
автор: ZayacZnaniy
Предмет: Математика,
автор: татьянаlav
Предмет: Математика,
автор: Ден100255201