Предмет: Математика,
автор: otsosorry
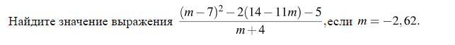
С ОБЪЯСНЕНИЕМ, ПОЖАЛУЙСТА
Приложения:
Ответы
Автор ответа:
1
Ответ:
решение смотри на фотографии
Пошаговое объяснение:
Приложения:
otsosorry:
огромное спасибо!!!
Удачи!
Автор ответа:
0
Ответ:
-51,7
Пошаговое объяснение:
(-2,62-7)²-2*(14-11*(-2,62)-5
______________________
-2,62+4
19,24-2*(14-(-28,82)-5
_________________
1,38
19,24-2*42,82-5
_______________
1,38
19,24-85,64-5 -66,4-5 -71,4
___________ = ______ = _____ = -51,7
1,38 1,38 1,38
Похожие вопросы
Предмет: Другие предметы,
автор: BodrenkovaDarya
Предмет: Русский язык,
автор: alexnikiforoff
Предмет: Русский язык,
автор: Ксения200415
Предмет: Алгебра,
автор: vladfatyuhin
Предмет: Математика,
автор: MissZerO