Предмет: Алгебра, автор: malta12

Уравнение пожалуйста помогите как решать.

Приложения:

Ответы

Автор ответа: manyny06
1

Ответ:

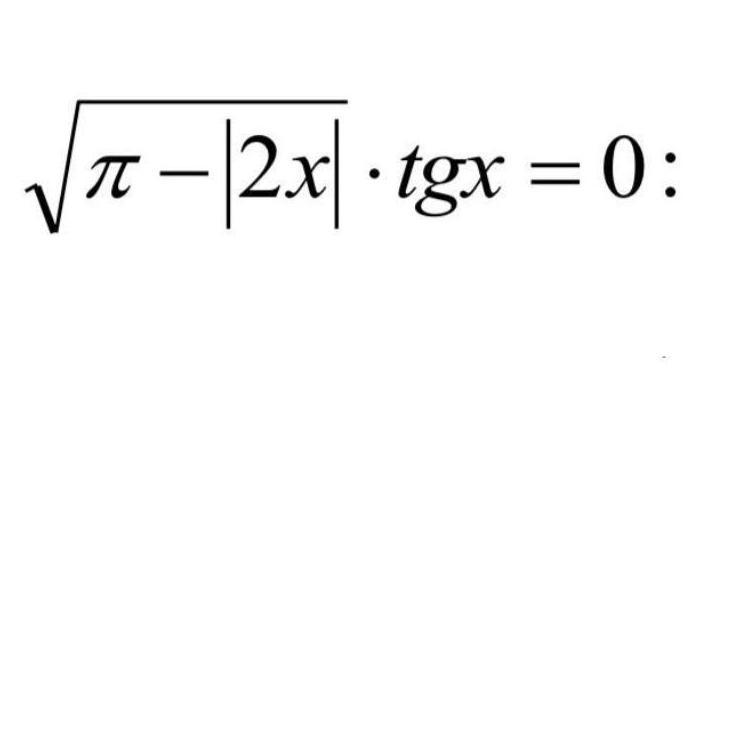
решение смотри на фотографии

Объяснение:

Приложения:
Похожие вопросы
Предмет: Русский язык, автор: Squallin
помогите пожалуйста~
1)составьте по 2 слова по данным схемам:
а)приставка,корень,2 суффикса,окончание б)корень,2 суффикса,окончание,суффикс в)приставка,2 корня,окончание
2)образуйте существительное женского рода от существительного:поручень
3)чем отличаются слова:адресат-адресант,дипломат-дипломант,сыто-сытно?
4)работа с текстом.прочитайте данные предложения,составьте и запишите из них текст,дайте ему название.
составьте план текста.Какой по стилю текст у вас получился?
С крыш так и каплет.Радуются дети:тепло пришло.А вот и грачи прилетели.Тепло стало га солнышке.Кто посильнее,старое гнездо занимает,а кто послабее,строит себе новое.Снегу на полях становится всё меньше и меньше.Подняли крик,затеяли ссоры,бранятся,дерутся.Скачут они по грязным дорогам.Показались чёрные проталины.Вот они захлопотали у своих старых гнёзд.