Предмет: Алгебра,
автор: natalyasuper1
Пожалуйста срочно.9кл. Завтра сдать.
Исследовать функцию.
Приложения:
Ответы
Автор ответа:
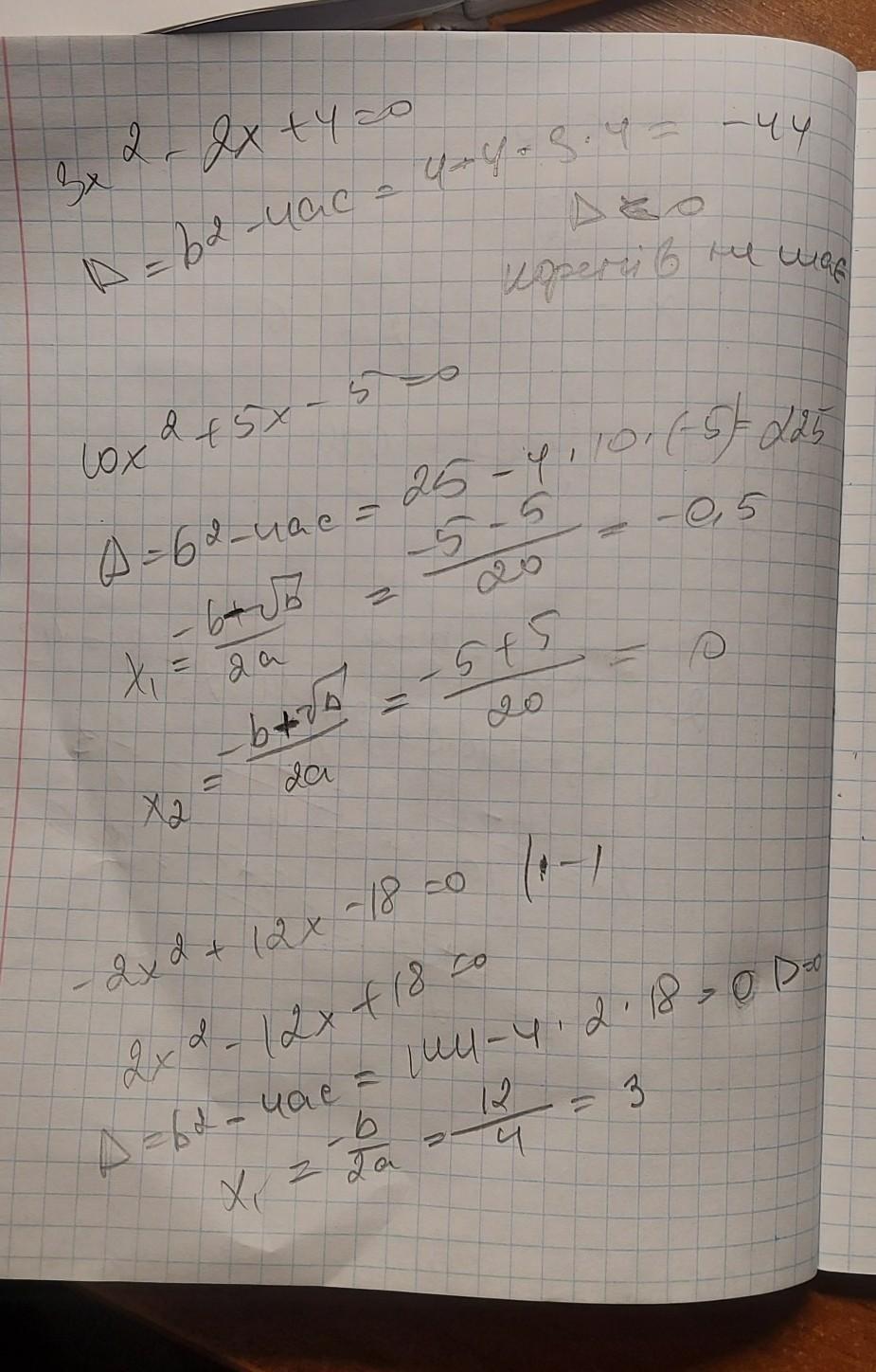
1
решаешь за дискриминантом , правила не полного квадратного уравнения и теорема Виета.
Приложения:
natalyasuper1:
Но не все
12х^2 - 12=0 ; х^2-1 =0 ; х^2 = 1 ; х1,2 = +,- 1
щас последний скину
х^2 - 2х -4=0 ;
D=b^4 - 4ac ;
D = 4-4×(-4) = 20.
√20 можно разложить на √4×5 = 2√5 тогда
Х1 = 2+2√5 = 1+√5
2
Х2 = 2-2√5 = 1-√5
2
D=b^4 - 4ac ;
D = 4-4×(-4) = 20.
√20 можно разложить на √4×5 = 2√5 тогда
Х1 = 2+2√5 = 1+√5
2
Х2 = 2-2√5 = 1-√5
2
Похожие вопросы
Предмет: Русский язык,
автор: mironchenko
Предмет: Русский язык,
автор: Аноним
Предмет: Русский язык,
автор: GoldenClever
Предмет: Химия,
автор: Gigi555
Предмет: Геометрия,
автор: hheinz