Предмет: Алгебра,
автор: turgenevaekaterina66
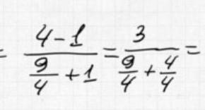
как в знаменателе вместо 1 получилось 4/4???
Приложения:
tatsach:
9/4+1 привести к общему знаменателю 4, а так как 1=1/1, то будет 4/4
спасибо^^
Ответы
Автор ответа:
1
Давайте разберемся. Чтобы решить пример, нам требуется привести 9/4 +1 к общему знаменателю (это то число, на которое делятся знаменатели данных дробей, а т.е. 4). Представим число 1 в виде дроби = 1/1, следовательно, т.к. общ.знам. =4, получится 4/4.
Похожие вопросы
Предмет: Русский язык,
автор: lera456123
Предмет: Русский язык,
автор: лика122002
Предмет: Русский язык,
автор: KatherineMaskatova
Предмет: Геометрия,
автор: Xexkek
Предмет: Математика,
автор: Клышпевтри