Предмет: Алгебра,
автор: RuslanRussia1881
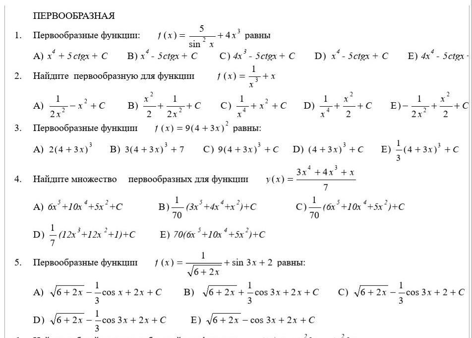
алгебра 11 класс пожалуйста прошу помогите
мне пожалуйста решение и ответ (букву)
Приложения:
Ответы
Автор ответа:
1
Ответ:
=====================================
Объяснение:
Приложения:
Похожие вопросы
Предмет: Русский язык,
автор: bruzginvadim
Предмет: Другие предметы,
автор: mshults
Предмет: Русский язык,
автор: school4444
Предмет: Алгебра,
автор: Anastasya111112
Предмет: Математика,
автор: нино10