Предмет: Алгебра,
автор: kirill213256
пожалуйста помогите дам 40 балов пожалуйста
Приложения:
Ответы
Автор ответа:
1
Ответ:
Объяснение:
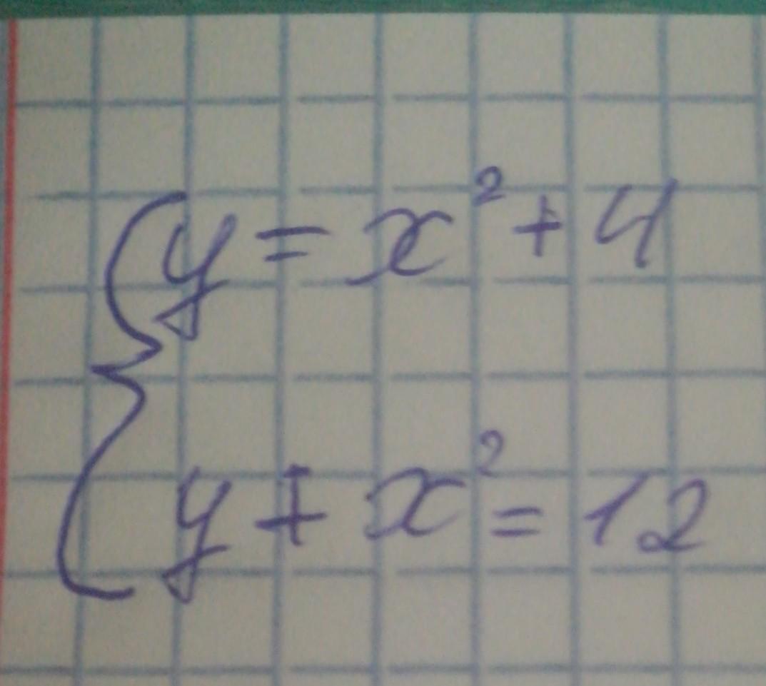
у=х²+4
у+х²=12 у=12-х² 12-х²=х²+4 х²=4 х=±2
у+2²=12 у=12-4=8 у=8
kirill213256:
это точно правильно?
простейшее уравнение
спасибо
Похожие вопросы
Предмет: Русский язык,
автор: anna23082003
Предмет: Русский язык,
автор: aisha81
Предмет: Английский язык,
автор: kamilla200477
Предмет: Алгебра,
автор: Алоризар56
Предмет: География,
автор: Аноним