Предмет: Алгебра,
автор: chakyrtuana
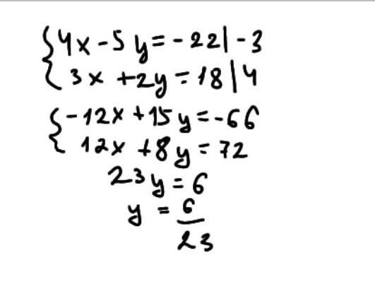
{4х-5у=-22
{3х+2у=18
решить систему методом сложения
Ответы
Автор ответа:
0
Ответ:
Как-то так. Думаю, что правильно.
Объяснение:
♀️
Приложения:
Похожие вопросы
Предмет: Русский язык,
автор: maschakowal
Предмет: Английский язык,
автор: flayvers
Предмет: Русский язык,
автор: Shigoreva
Предмет: Алгебра,
автор: fedorv03
Предмет: Алгебра,
автор: DragonBoy967