Предмет: Математика,
автор: vinoleyka123
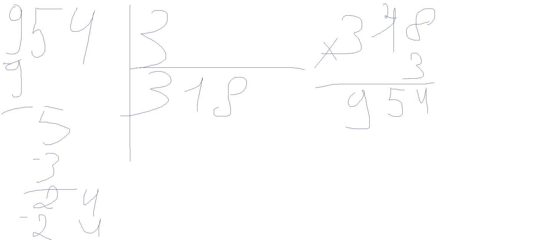
954:3в столбик мне нужно
Ответы
Автор ответа:
1
Ответ:
если что, ответ 318
удачи ;)
Приложения:
vinoleyka123:
❤️❤️❤️❤️❤️
Автор ответа:
0
Ответ:
Во вложении....
Пошаговое объяснение:
Приложения:
Похожие вопросы
Предмет: Русский язык,
автор: sega2006
Предмет: Українська мова,
автор: ef24122003
Предмет: Другие предметы,
автор: keymaker
Предмет: История,
автор: chmilyulya
Предмет: Математика,
автор: aleksanbraaa