Предмет: Алгебра,
автор: natalka1968
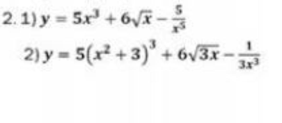
Помогите решить алгебру.
Приложения:
Ответы
Автор ответа:
1
Ответ:
я всё сделала сверху посмотри
Приложения:
saaliha13sagynbekova:
Просто открой фотографии полностью
спасибо большое
Похожие вопросы
Предмет: Українська мова,
автор: a25122012
Предмет: Русский язык,
автор: laraza
Предмет: Русский язык,
автор: alivoz
Предмет: Геометрия,
автор: flashgg1337
Предмет: География,
автор: 091019791