Предмет: Математика,
автор: laxgoat89
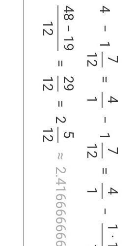
как решить 4-1целое 7 числитель 12 знаминатель
Ответы
Автор ответа:
0
Пошаговое объяснение:
как-то так..........
Приложения:
Похожие вопросы
Предмет: Другие предметы,
автор: irademidova19
Предмет: Английский язык,
автор: Nivel
Предмет: Українська література,
автор: yanka031
Предмет: Химия,
автор: KovganChristina