Предмет: Алгебра, автор: trofimovichnikita64

Помогите с алгеброй пожалуйста. Нужен способ сложения

Приложения:

Ответы

Автор ответа: Universalka
1

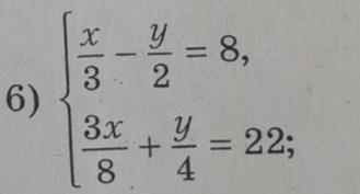
\left \{ {{\frac{x}{3}-\frac{y}{2}=8} \atop {\frac{3x}{8}+\frac{y}{4}=22}} \right.\\\\\left \{ {{\frac{x}{3}*6-\frac{y}{2}*6=8*6} \atop {\frac{3x}{8}*8+\frac{y}{4}*8=22*8}} \right.\\\\\left \{ {{2x-3y=48}|*(-3) \atop {3x+2y=176}|*2} \right.\\\\+\left \{ {{-6x+9y=-144} \atop {6x+4y=352}} \right.\\ --------\\13y=208\\\\y=16\\\\2x=48+3y=48+3*16=48+48=96\\\\x=48\\\\Otvet:\boxed{(48;16)}

Похожие вопросы
Предмет: География, автор: jasminasadowsk
Предмет: Алгебра, автор: Oganesyanveronika