Предмет: Алгебра,
автор: olegkudko
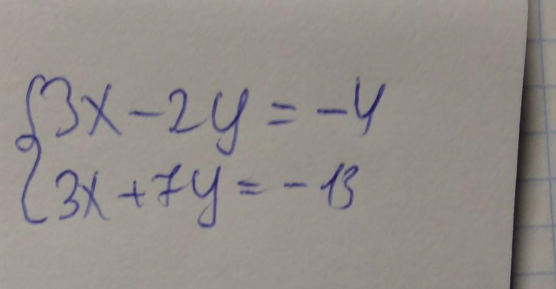
Розв'язати систему рівнянь способом додавання
Приложения:
Ответы
Автор ответа:
0
Ответ:(-2 , -1)
Объяснение:
9у=9
х= 3х-2*9=-4
х=-2
Похожие вопросы
Предмет: Другие предметы,
автор: mariya261
Предмет: Українська мова,
автор: svetikua2010
Предмет: Русский язык,
автор: юлистрейз
Предмет: География,
автор: катя4204
Предмет: Биология,
автор: АнонимAnonim