Предмет: Математика,
автор: 81zhuchenko
Помогите plz 6 класс
Приложения:
81zhuchenko:
срочно
Ответы
Автор ответа:
1
Ответ:
x:7=35:5
x:7=7
x=7×7
x=49
...
x:6=15:3
x:6=5
x=5×6
x=30
...
50:x=10:2
50:x=5
x=50:5
x=10
...
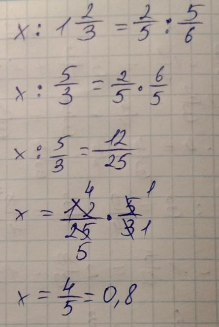
держи один пример на фотке, может разберёшься, я не знаю как можно не понимать сокращение, это же интересно и легко
Приложения:
так мне и со сокращением надо
так я же написал, как буду дома, сделаю и пришлю
это же не срочно? д/з
Похожие вопросы
Предмет: Русский язык,
автор: excluzain
Предмет: Русский язык,
автор: gazizovasaule
Предмет: Русский язык,
автор: ClassG
Предмет: Геометрия,
автор: Mamololo