Предмет: Алгебра,
автор: khrystynayukhno
Помогите с алгеброй пожалуйста
Приложения:
Ответы
Автор ответа:
0
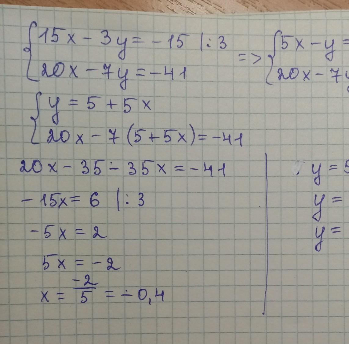
Ответ:
х=-0,4; у=3
Объяснение:
15х-3у=-15
20х-7у=-41
Приложения:
Похожие вопросы
Предмет: Английский язык,
автор: lolitaoksana
Предмет: Русский язык,
автор: prichodko2004
Предмет: Русский язык,
автор: max75547554
Предмет: История,
автор: mishkosya