Предмет: Алгебра,
автор: brancarla
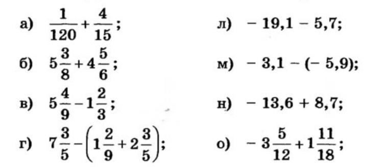
решите пожалуйста срочно надо
Приложения:
Ответы
Автор ответа:
0
Ответ:
вот ответ, я думаю что помогла
Приложения:
Похожие вопросы
Предмет: Русский язык,
автор: artem791
Предмет: Русский язык,
автор: olesya8111996
Предмет: Русский язык,
автор: dertyertyfiji
Предмет: Математика,
автор: nafanika
Предмет: Математика,
автор: АнастасияПершина