Предмет: Алгебра,
автор: Аноним
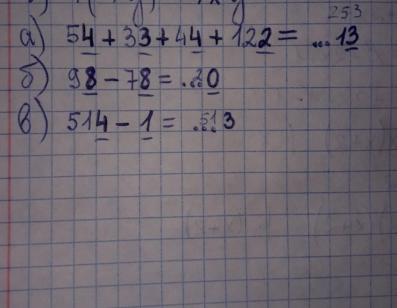
Какой цифрой оканчивается значение выражения:
а)54+33+44+122; b) 98 – 78; с)514 – 1.
Ответы
Автор ответа:
3
Объяснение:
если нужна только последняя цифра ответа, то можно сложить/вычесть между собой последние цифры тех чисел, которые есть у нас в примере
Приложения:
Похожие вопросы
Предмет: Русский язык,
автор: Аноним
Предмет: Русский язык,
автор: Sergey0104
Предмет: Другие предметы,
автор: BodrenkovaDarya
Предмет: Обществознание,
автор: utgg