Предмет: Алгебра,
автор: 3345565554332
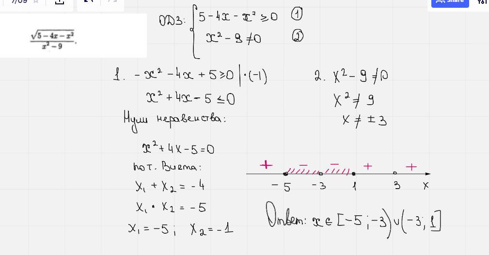
Найдите область определения выражения! Пожалуйста!
Приложения:
Ответы
Автор ответа:
1
Ответ:
В решении
Объяснение:
Приложения:
3345565554332:
По какой формуле можно вычислить стандартную длину бруса плинтуса х в сантиметрах, если ровно у брусков хватило для обивки помещения периметром z метров? Помогите ещё с этим заданием пожалуйста
Похожие вопросы
Предмет: Английский язык,
автор: aNgEl19999
Предмет: Русский язык,
автор: артём339
Предмет: Русский язык,
автор: 89323243297
Предмет: Физика,
автор: Nick431
Предмет: Физика,
автор: faramuzovaseva