Предмет: Математика,
автор: nikitakuzmin2006
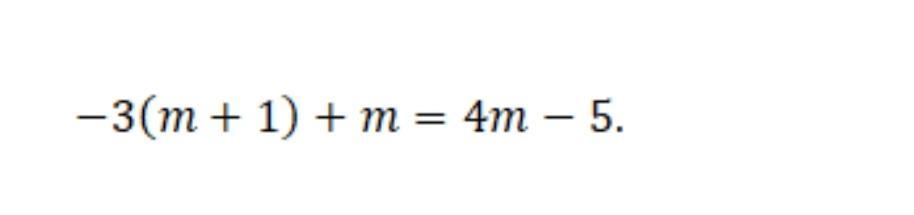
Решить уравнение и выполнить проверку -3(m+1)+m=4m-5
Приложения:
Ответы
Автор ответа:
0
Ответ:
-3*m+(-3)*1+m=4m-5
-3m-3+m=4m-5
-3m-4m+m=-5+3
-6m=-2
m=-2/-6
m=0,3
Пошаговое объяснение:
Автор ответа:
0
Ответ:m=1/3
Пошаговое объяснение:
-3m-3+m=4m-5
-6m=-2
m=1/3
Похожие вопросы
Предмет: Русский язык,
автор: color0087
Предмет: Русский язык,
автор: фпмафуаф
Предмет: Русский язык,
автор: natsik2004
Предмет: ОБЖ,
автор: Sandgeys245
Предмет: Математика,
автор: havizova761