Предмет: Математика,
автор: gorbahenkobogdan
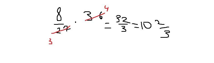
Сколько будет 8/27*36
Ответы
Автор ответа:
2
Ответ:
Приложения:
Похожие вопросы
Предмет: Английский язык,
автор: Аноним
Предмет: Английский язык,
автор: 87021252603
Предмет: Русский язык,
автор: antonockinadash
Предмет: Биология,
автор: MrKrizman2004
Предмет: Математика,
автор: Sevily2004