Предмет: Алгебра, автор: kolpachok83

Algebra
Алгебра
9класс
Класс 9

Приложения:

Ответы

Автор ответа: baekseoltang7
1

3.

 \frac{2}{a + 1}  -  \frac{3}{b + 1}  =  \frac{2b + 2 - (3a +  3)}{ab + b + a + 1}  =  \frac{2b - 3a - 1}{ab + b + a + 1}

4.

a +  \frac{3}{a}  =  \frac{a}{1}  +  \frac{3}{a}  =  \frac{ {a}^{2} + 3 }{a}

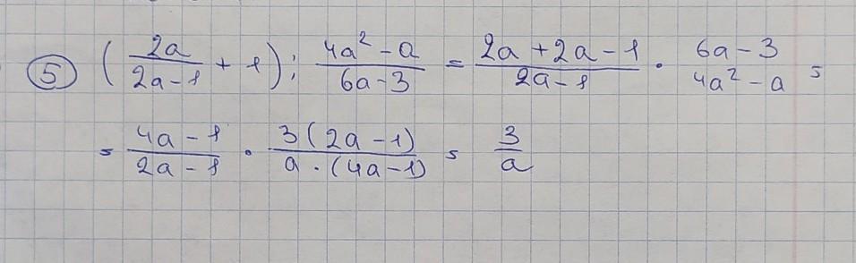
5. на фото

Приложения:
Похожие вопросы
Предмет: Қазақ тiлi, автор: bota02100212
Предмет: Математика, автор: Danilhtt1