Предмет: Математика,
автор: Аноним
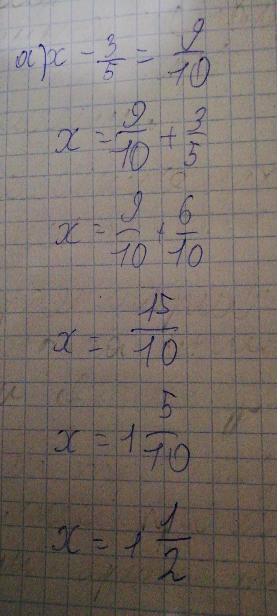
а х - 3/5 = 9/10 помогите пожалуйста
Ответы
Автор ответа:
3
Пошаговое объяснение:
...................
Приложения:
Похожие вопросы
Предмет: Русский язык,
автор: svet8284
Предмет: Русский язык,
автор: Tim102russ
Предмет: Русский язык,
автор: Кристинка2222
Предмет: Математика,
автор: aika0705