Предмет: Алгебра,
автор: dlyastima297
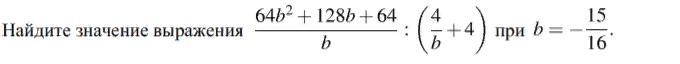
Найдите значения выражения
Приложения:
Ответы
Автор ответа:
1
корень (-1,0)
область определения b=0
dlyastima297:
а можно пожалуйста полное решение :)
Похожие вопросы
Предмет: Другие предметы,
автор: karinamalvina
Предмет: Английский язык,
автор: gura1968
Предмет: Английский язык,
автор: polot
Предмет: Математика,
автор: Tanya079y878
Предмет: Алгебра,
автор: Marina899909