Предмет: Алгебра,
автор: dbjtbkucvj
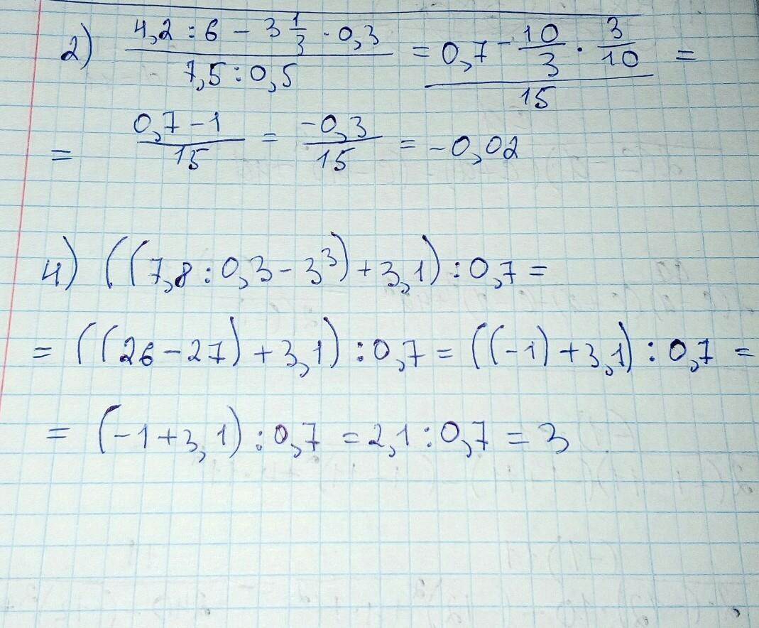
Помогите решить пожалуйста 2 и 4 пункт
Приложения:
Ответы
Автор ответа:
1
Ответ:
Вот решение всех примеров
Приложения:
dbjtbkucvj:
спасибо большое
обращайся
Похожие вопросы
Предмет: Английский язык,
автор: нинеелль
Предмет: Українська мова,
автор: zaxarovazoha
Предмет: Русский язык,
автор: aishakhasaeva
Предмет: Математика,
автор: 250384
Предмет: Химия,
автор: skylptor67