Предмет: Алгебра,
автор: x1mia
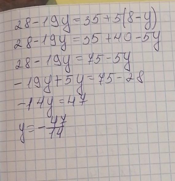
Решите уравнение пожалуйста 28-19y=35+5(8-y)
Ответы
Автор ответа:
0
Приложения:
Автор ответа:
0
Ответ:
-3.36
Объяснение:
28-19у=35+40-5у
-19у+5у=35+40-28
-14у=47
у=-3,36
Похожие вопросы
Предмет: Английский язык,
автор: vera0121
Предмет: Английский язык,
автор: rebornboy
Предмет: Английский язык,
автор: Gevorg2
Предмет: Химия,
автор: Margaret99