Предмет: Алгебра,
автор: nikitaikonstantin
Помогите решить 4 примера по алгебре. Даю много баллов
Приложения:
Ответы
Автор ответа:
0
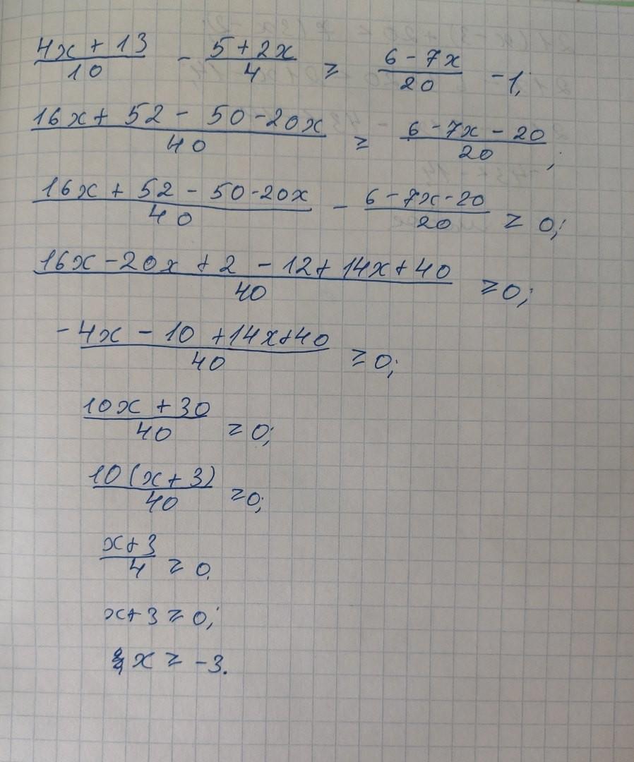
Объяснение:
решение в файлах
Приложения:
Похожие вопросы
Предмет: Русский язык,
автор: nejikoksana
Предмет: Русский язык,
автор: spartak2297
Предмет: Українська мова,
автор: 123456789caha38
Предмет: Математика,
автор: kanyashin2017Yurkich
Предмет: Математика,
автор: ник4220