Предмет: Алгебра,
автор: gvggvxfhbhh
Помогите пожалуйста. Очень срочно надо!!
P.S:нажми на фотку, чтобы увидеть полный пример.
Приложения:
Ответы
Автор ответа:
1
Ответ:
- 2 / 9
Объяснение:
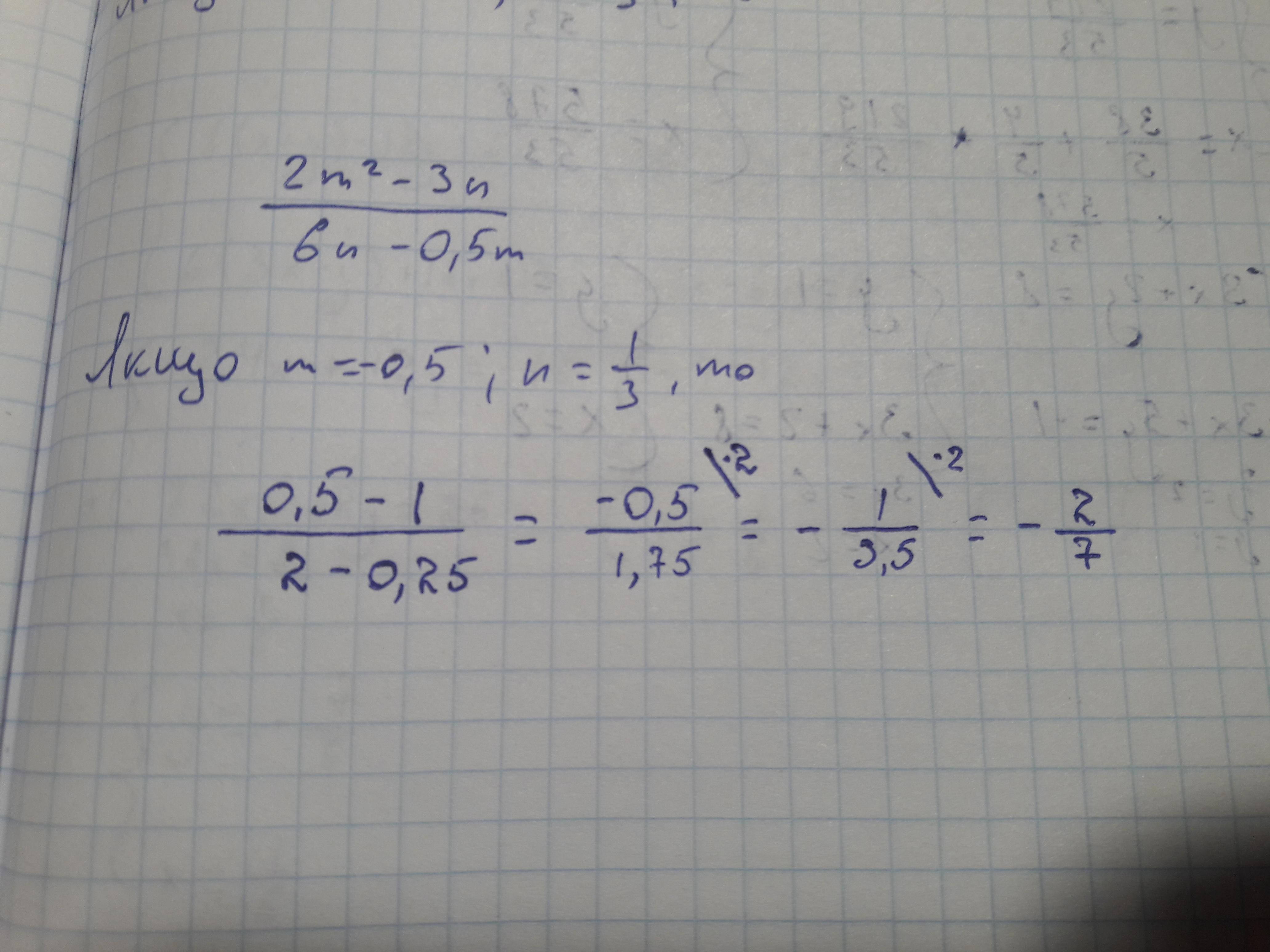
Решение смотрите на фото
Приложения:
gvggvxfhbhh:
спасибо большое!!!
на здоровье
Автор ответа:
0
ну думаю тут понятно
Приложения:
смотри, m и n, вместо букв, нужно подставить числа
Похожие вопросы
Предмет: Русский язык,
автор: chinaxmed
Предмет: Русский язык,
автор: yarkaboy
Предмет: Русский язык,
автор: iwanowwn
Предмет: Алгебра,
автор: Рита28042412