Предмет: Алгебра,
автор: zani9046
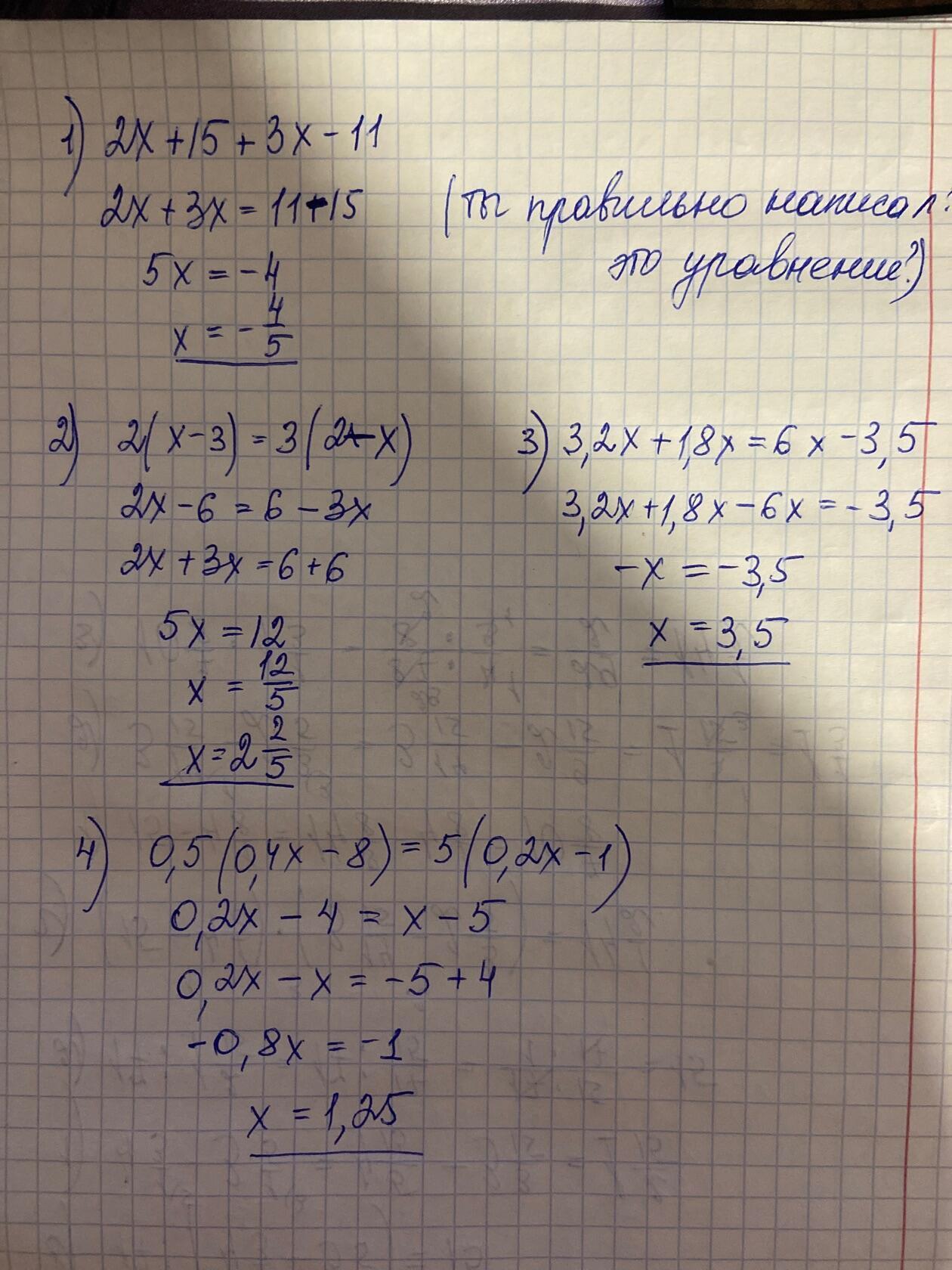
5. Решите уравнение (5-6):
1) 2x + 15 +3х - 11
3) 2(x-3) = 3(2-х);
. 1) 3, 2x +1,8х =6x - 3,5;
3) 0,5 (0, 4x - 8) =5 (0,2x-1);
Ответы
Автор ответа:
1
Ответ:
решила
Объяснение:
Приложения:
Похожие вопросы
Предмет: Қазақ тiлi,
автор: erasik200267
Предмет: Русский язык,
автор: Golubkatya
Предмет: Другие предметы,
автор: tivilyovatatya
Предмет: Химия,
автор: MrBudaev
Предмет: Математика,
автор: алинакотик5