Предмет: Математика, автор: rolduginyroslav

Как решить пример, обязательно с объяснением

Приложения:

rolduginyroslav: Реклама

Ответы

Автор ответа: GulzhainaManai
1

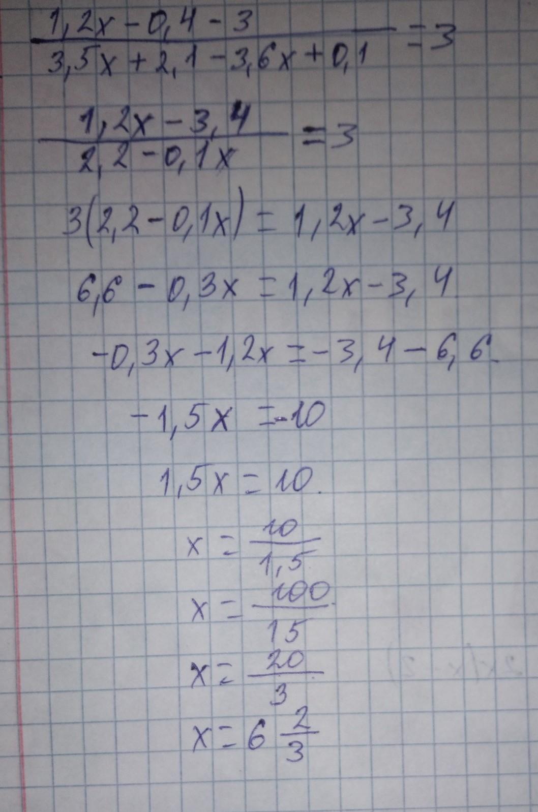
Ответ:

все здесь написано.....

Приложения:

rolduginyroslav: Все правильно!!!
rolduginyroslav: МОЛОДЕЦ
GulzhainaManai: можешь отметить это решение самым лучшим я хотела повысить ранк но не хватает одно решение который отмечен самым лучшим ну пожалуйста
rolduginyroslav: извини, но не могу, нет другого решения
Похожие вопросы
Предмет: Другие предметы, автор: irina131103
Предмет: Другие предметы, автор: leraverbich