Предмет: Алгебра,
автор: tkacikveronika797
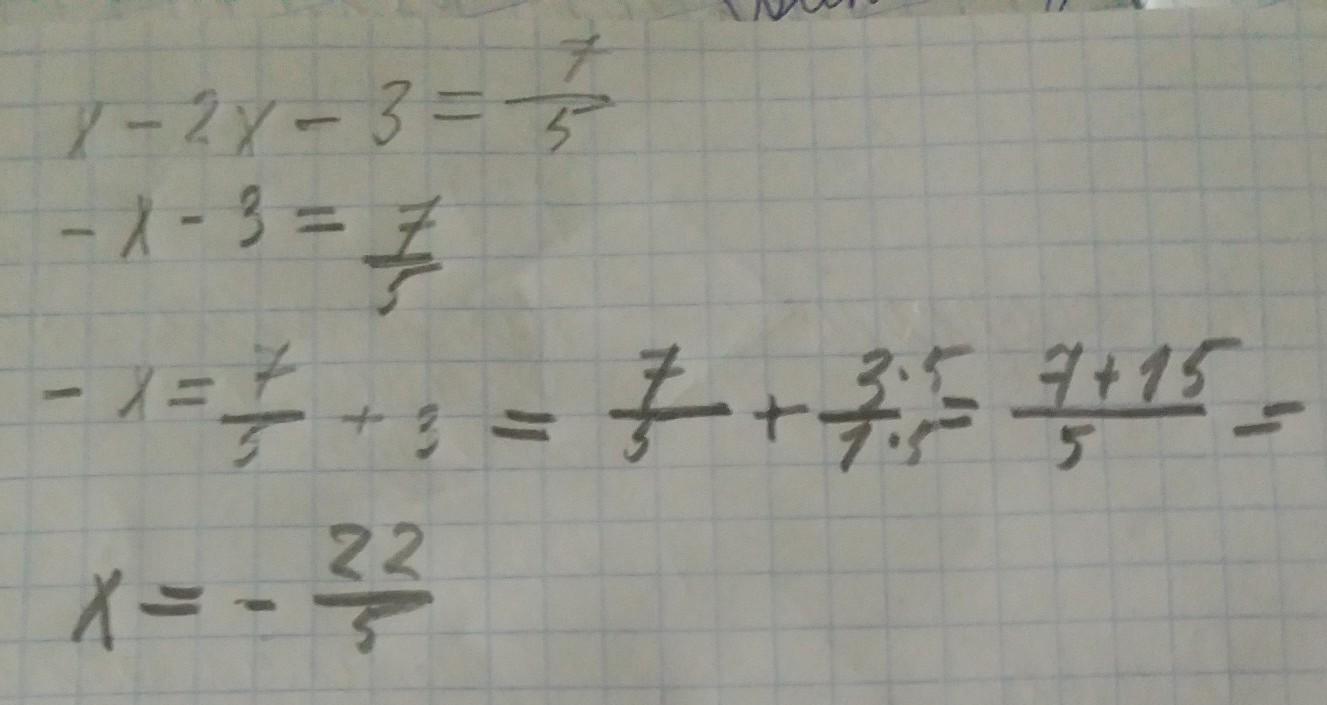
Рівняння х-2 х-3 =7/5
Ответы
Автор ответа:
0
вот пожалуйста. Пиши если надо .
Приложения:
Похожие вопросы
Предмет: Другие предметы,
автор: gbggchfhjj
Предмет: Русский язык,
автор: kjdanov1973
Предмет: Русский язык,
автор: guliaalieva02
Предмет: Математика,
автор: Аноним