Предмет: Математика, автор: umma158

Решите пожалуйста, за ответ 35 баллов!

Приложения:

Ответы

Автор ответа: leomessiasadbekk
0

Ответ:

sin(a-3π/2)*cos(2π-a)-sin(π-a)*sin(π+a)=

=-sin(3π/2-a)*cosa-sina*(-sina)=-(-cosa)*cosa+sin²a=

=cos²a+sin²a=1

Автор ответа: daraprelj
0

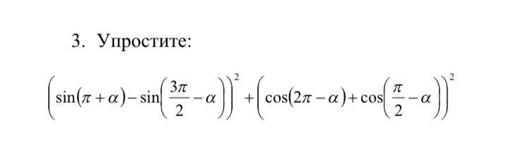
(sin(\pi +\alpha )-sin(\frac{3\pi }{2} -\alpha ))^{2}+(cos(2\pi -\alpha )+cos(\frac{\pi }{2} -\alpha))^{2} =

= (-sin\alpha -(-cos\alpha ))^{2}+(cos\alpha + sin\alpha)^{2} = (cos\alpha -sin\alpha )^{2}+(cos\alpha + sin\alpha)^{2}=

= cos^{2} \alpha -2cos\alpha sin\alpha +sin^{2} \alpha +cos^{2} \alpha +2cos\alpha sin\alpha +sin^{2} \alpha = 2cos^{2} \alpha + 2sin^{2} \alpha =

= 2*(cos^{2} \alpha+sin^{2} \alpha) = 2*1 = 2

Похожие вопросы
Предмет: Русский язык, автор: juliannn
Предмет: Право, автор: ekinf
Выехав за город, Александр Васильев и его друзья, желая устроить пикник в честь дня рождения Елены Козловой, расположились на прекрасной зеленой поляне возле шумного, хотя отнюдь и не горного ручья. Развели костер, разложили еду и напитки: черный и зеленый чай, свежевыжатый сок, минеральную воду. Друзья Александра Васильева, как, собственно, и он сам, были очень культурными и воспитанными людьми и крайне редко употребляли спиртное, уж во всяком случае не на пикнике по случаю дня рождения.
Спустя пару часов, когда вода закончилась, решили послать в магазин проходившего мимо подростка Дениса. Александр Васильев дал ему свой старенький мотоцикл. Денис не имел прав на управление транспортным средством, но согласился съездить в город за водой. Около магазина Денис не успел затормозить перед запрещающим сигналом светофора и был остановлен инспектором ГИБДД Еленой Козловой. (А вы думали она на пикнике? Как бы не так!)
Кто и за какие правонарушения должен быть привлечен к административной ответственности, если известно, что Денису не исполнилось и 16 лет?