Предмет: Математика,
автор: elisomsfart
6 клас математика Истер номер 1421
Ответы
Автор ответа:
2
Ответ:
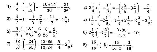
Если ты про это.
Приложения:
elisomsfart:
Спасибі
Похожие вопросы
Предмет: Другие предметы,
автор: Аноним
Предмет: Русский язык,
автор: plombir247
Предмет: Русский язык,
автор: deso85
Предмет: Математика,
автор: maska52
Предмет: Математика,
автор: kristyznai