Предмет: Алгебра,
автор: karinafrederika
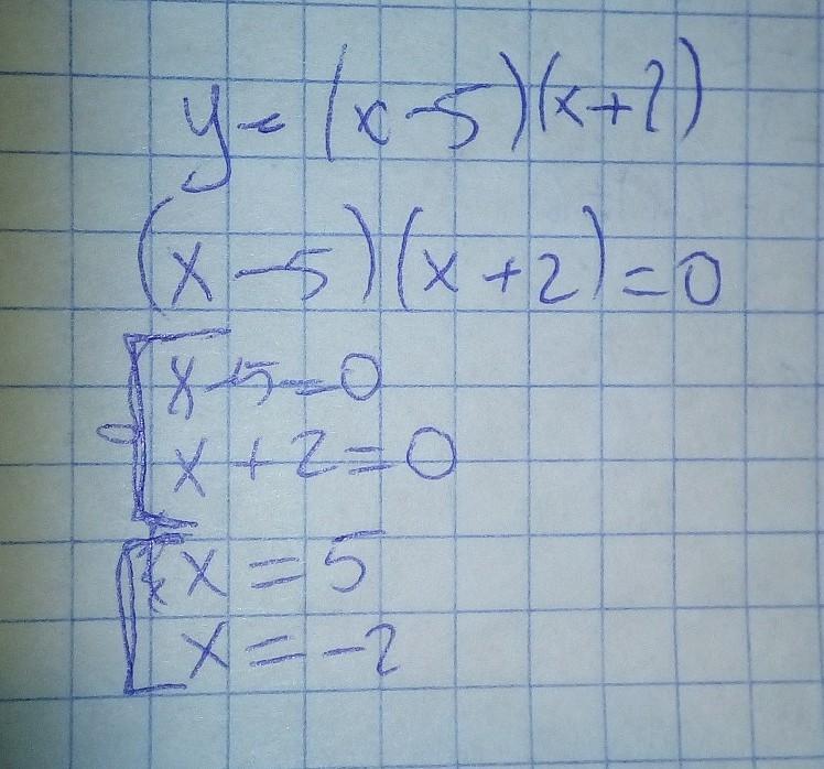
Найдите нули функции у = (х – 5)(х +2)
Ответы
Автор ответа:
1
ответ:...................
Приложения:
Похожие вопросы
Предмет: Українська мова,
автор: 380506275657
Предмет: Русский язык,
автор: valeratamara
Предмет: Русский язык,
автор: monsterf
Предмет: История,
автор: kalyazinasasha6995