Предмет: Математика,
автор: makar26182
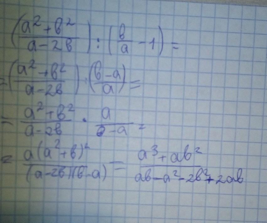
(a^2+b^2/a - 2b) : (b/a - 1)
упростите выражение
ghj30110:
у скобочки в конце есть еще одна?)
это не студенческий уровень. Уберите это задание
Ответы
Автор ответа:
1
Ответ:
?наверно так?........
Приложения:
Похожие вопросы
Предмет: Қазақ тiлi,
автор: lerawwwlear
Предмет: Русский язык,
автор: lsitnikova
Предмет: Українська мова,
автор: 2005So
Предмет: Биология,
автор: OTRIX262