Предмет: Алгебра,
автор: Firsya
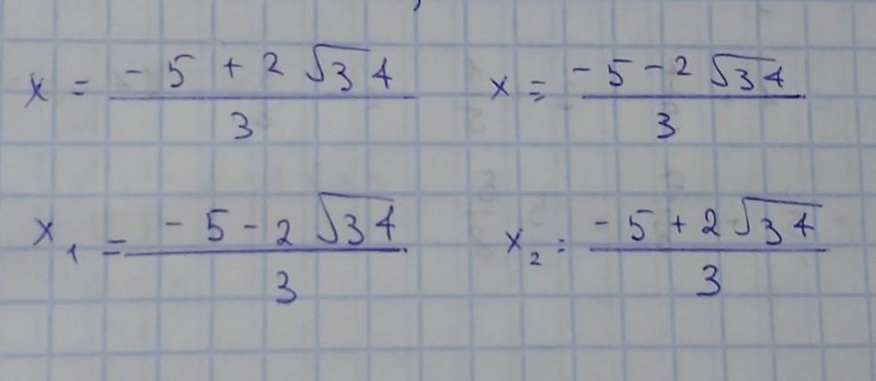
(2x+1)(x-3)-(1-x)(x+5)=29-11x
Ответы
Автор ответа:
1
Объяснение:
все очень подробно на фотографиях
Приложения:
Firsya:
спасибо
спасибо
ой 2 раза отправил
ой 2 раза отправил
не пон
Похожие вопросы
Предмет: Русский язык,
автор: selenakom
Предмет: Русский язык,
автор: bolshakova2014
Предмет: Русский язык,
автор: 33Няшка33
Предмет: Математика,
автор: urk53
Предмет: Литература,
автор: dokuchay73Rus