Предмет: Математика,
автор: ketiemelyanenk
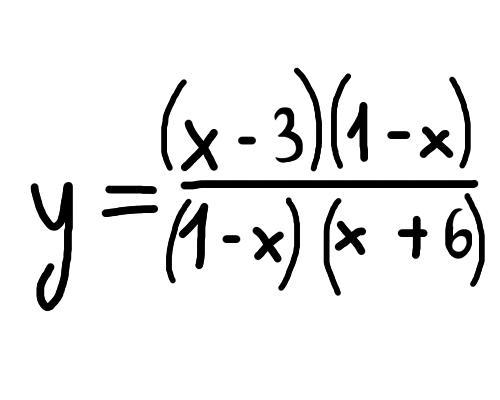
Помогите решить. СРОЧНО!!! Определите область определения функции
Приложения:
Ответы
Автор ответа:
1
Ответ:
х=3
Пошаговое объяснение:
Чтобы найти пересечения с осью x / корень, подставьте у=0 ;
Найти область допустимых значений x≠1, x≠-6 ;
Сократить дробь на 1-x ;
Поменяйте местами стороны уравнения ;
Когда частное выражений равно 0, числитель должен быть равным 0 ;
Перенесите постоянную в правую часть и сменить ее знак ;
Проверить, принадлежит ли решения заданному интервалу .
Всего доброго!
Похожие вопросы
Предмет: Другие предметы,
автор: Аноним
Предмет: Русский язык,
автор: maksik88
Предмет: Русский язык,
автор: zm65
Предмет: Математика,
автор: тодя2007
Предмет: Алгебра,
автор: alinka1802