Предмет: Математика,
автор: demon080904
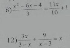
Помогите пожалуйста решить, решение+ ответ прошу!!!
Приложения:
Ответы
Автор ответа:
0
Пошаговое объяснение:
Скачай фотоматиматику, очень быстро и понятно)
Автор ответа:
0
Пошаговое объяснение:
Решение и ответ на фотографиях
Приложения:
Похожие вопросы
Предмет: Английский язык,
автор: dinnoker123
Предмет: Русский язык,
автор: marikuleshova
Предмет: Русский язык,
автор: 7895754дима
Предмет: Математика,
автор: kasperannaya