Предмет: Алгебра,
автор: nastyadobravol
Помогите,всё забыла на каникулах, как решать не помню вообще
Приложения:
Ответы
Автор ответа:
0
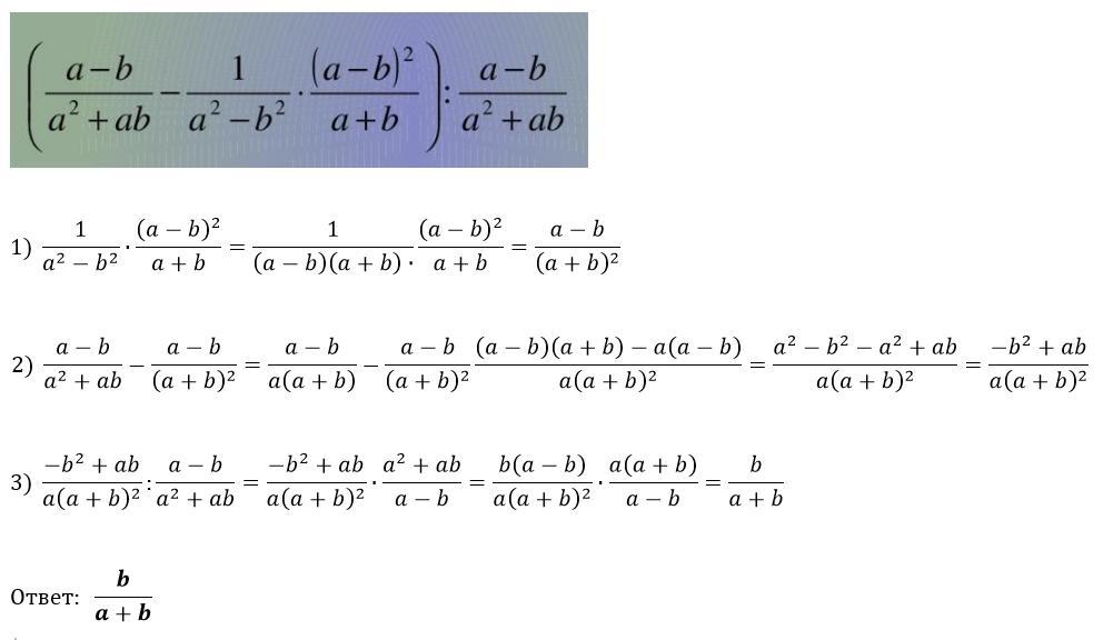
Ответ:
Объяснение:
****************************
Приложения:
Похожие вопросы
Предмет: Русский язык,
автор: Брюнеточка59
Предмет: Русский язык,
автор: aleksjasha
Предмет: Русский язык,
автор: 567991Лидия
Предмет: Алгебра,
автор: Yulia2348