Предмет: Алгебра,
автор: gundirova67
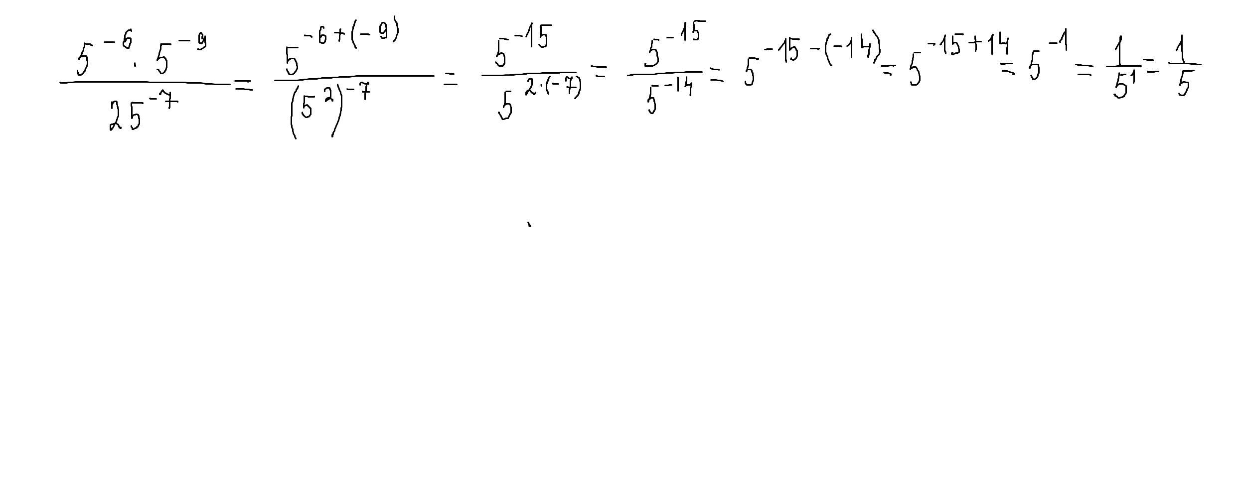
5^-6 * 5^-9 / 25^-7 помогите решить пожалуйста
Ответы
Автор ответа:
0
Ответ:
1\5
Объяснение:
все решение внизу
Приложения:
Похожие вопросы
Предмет: Русский язык,
автор: nastyasha11
Предмет: Русский язык,
автор: ramires77
Предмет: Русский язык,
автор: evaiwan
Предмет: Математика,
автор: Bogdan20031111