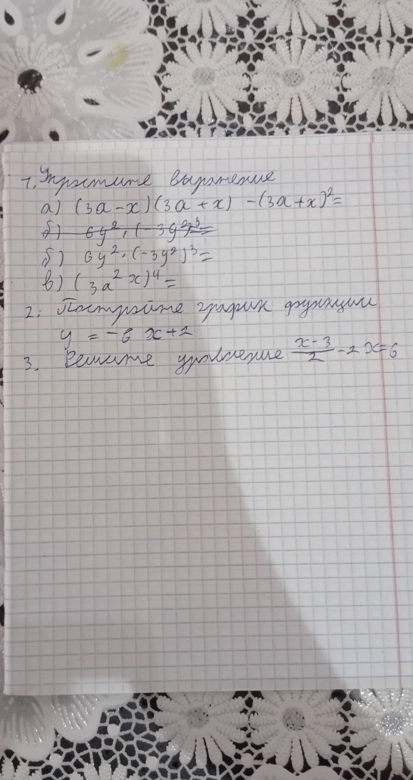
Предмет: Математика, автор: nuradilmukashev

пожалуйста помогите 25 баллов​

Приложения:

Ответы

Автор ответа: dmitrychupin
1

Пошаговое объяснение:

1. а)

(3a-x)(3a+x)-(3a+x)^{2} \\9a^{2}-x^{2}-(9a^{2}+6ax+x^{2})\\9a^{2}-x^{2}-9a^{2}-6ax^{2}-x^{2} \\-2x^{2}-6ax

б)

6y^{2}*(3y^{2})^{3} \\6y^{2}*27y^{6} \\162y^{8}

в)

(3a^{2}x)^{4} \\3^{4}*(a^{2})^{4}*x^{4}\\81a^{8}x^{4}

2. y=-6x+2

y=0

0=-6x+2

6x=2

x=\frac{1}{3} или x=0,3

подставляем значение

y=-6*0,3+2

y=-1,8+2

y=0,2

Ответ: x=0.3 y=0.2 (график во вложении)

3.

\frac{x-3}{2}-2x=6\\x-3-4x=12\\-3x-3=12\\-3x=12+3\\-3x=15\\x=-5

Приложения:
Похожие вопросы