Предмет: Алгебра,
автор: Veronica1313
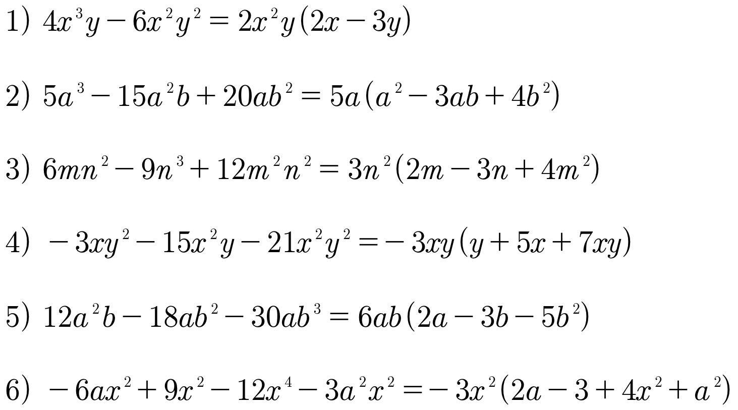
70 баллов помогите Вынесите общий множитель за скобки
Приложения:
Ответы
Автор ответа:
1
Ответ:
Объяснение:
**********************
Приложения:
Похожие вопросы
Предмет: Русский язык,
автор: feay2008
Предмет: Русский язык,
автор: ЦинковаяЛиса
Предмет: Английский язык,
автор: hisava
Предмет: Алгебра,
автор: валера5712