Предмет: Математика,
автор: cloaca1380
помогите.................
Приложения:
Ответы
Автор ответа:
1
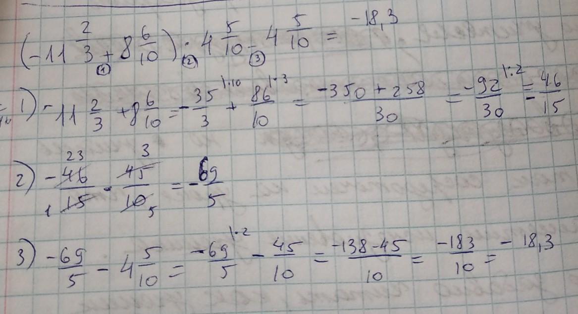
решение на фото
удачи.
Приложения:
Похожие вопросы
Предмет: Русский язык,
автор: nastyu2015
Предмет: Английский язык,
автор: ленчик355
Предмет: Английский язык,
автор: 7590
Предмет: Математика,
автор: Влад20059
Предмет: Биология,
автор: 50nastya50