Предмет: Математика,
автор: fmahmudov08
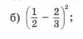
как решить этот пример
Приложения:
Ответы
Автор ответа:
0
1
36
- Нужно вычетать дроби
- Потом нужно возвести дробь в степень
Похожие вопросы
Предмет: Английский язык,
автор: tbredikhina
Предмет: Русский язык,
автор: КристинаМокляк
Предмет: Русский язык,
автор: pozitiv4il443
Предмет: Химия,
автор: daly7