Предмет: Математика,
автор: Аноним
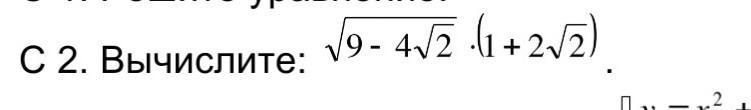
ребят, помогите плиз
Приложения:
Ответы
Автор ответа:
0
Ответ:
Пошаговое объяснение:
1547ответ
Похожие вопросы
Предмет: Русский язык,
автор: кука56
Предмет: Русский язык,
автор: РязанцевВаня
Предмет: Русский язык,
автор: pilixovskii
Предмет: Геометрия,
автор: hshakir
Предмет: Химия,
автор: mimumi1