Предмет: Алгебра, автор: Filka7

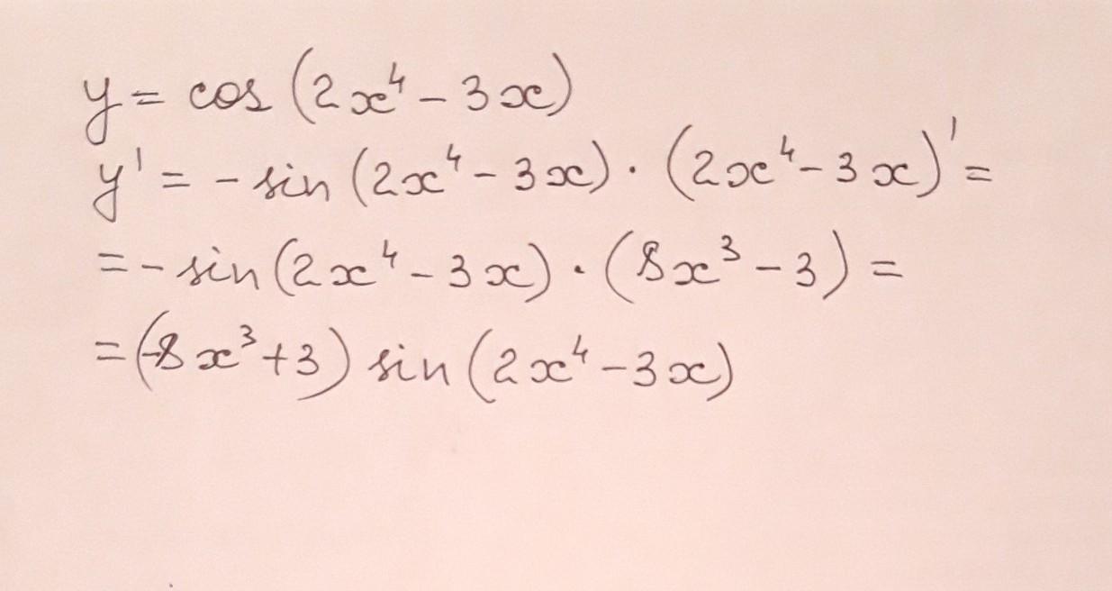
Задание номер 6 во вложении Найти производную функции

Приложения:

Ответы

Автор ответа: sharofat0
0

Ответ:

Производная сложной функции.

Приложения:
Автор ответа: Аноним
1

Производная сложной функции, внешняя - тригонометрическая зависит от алгебраической суммы степенных. поэтому находим производную первой  и от алгебраической суммы двух других и перемножаем.

у'=(cos(2x⁴-3x))'=-sin(2x⁴-3x)*(2x⁴-3x)'=-sin(2x⁴-3x)*(8x³-3)=

(3-8x³)*sin(2x⁴-3x)

Похожие вопросы
Предмет: Английский язык, автор: Marsielle02
АНГЛИЧАНЕ ПОМОГИТЕ!!!


ГИА чтение В3 демо 2014

Прочитайте тексты и установите соответствие между текстами А–G и заголовками 1–8. Запишите свои ответы в таблицу. Используйте каждую цифру только один раз. В задании есть один лишний заголовок.

1. The scientific explanation 5. Places without rainbows2. The real shape 6. A personal vision3. A lucky sign 7. A bridge between worlds4. Some tips 8. Impossible to catch

 A. Two people never see the same rainbow. Each person sees a different one. It happens because the raindrops are constantly moving so the rainbow is always changing too. Each time you see a rainbow it is unique and it will never be the same! In addition, everyone sees colours differently according to the light and how their eyes interpret it.

B. A rainbow is an optical phenomenon that is seen in the atmosphere. It appears in the sky when the sun’s light is reflected by the raindrops. A rainbow always appears during or immediately after showers when the sun is shining and the air contains raindrops. As a result, a spectrum of colours is seen in the sky. It takes the shape of a multicoloured arc.

C. Many cultures see the rainbow as a road, a connection between earth and heaven (the place where God lives). Legends say that it goes below the earth at the horizon and then comes back up again. In this way it makes a permanent link between what is above and below, between life and death. In some myths the rainbow is compared to a staircase connecting earth to heaven.

D. We all believe that the rainbow is arch-shaped. The funny thing is that it's actually a circle. The reason we don’t see the other half of the rainbow is because we cannot see below the horizon. However, the higher we are above the ground, the more of the rainbow’s circle we can see. That is why, from an airplane in flight, a rainbow will appear as a complete circle with the shadow of the airplane in the centre.

E. In many cultures there is a belief that seeing a rainbow is good. Legends say that if you dig at the end of a rainbow, you'll find a pot of gold. Rainbows are also seen after a storm, showing that the weather is getting better, and there is hope after the storm. This is why they are associated with rescue and good fortune. If people happen to get married on such a day, it is said that they will enjoy a very happy life together.

F. You can never reach the end of a rainbow. A rainbow is all light and water. It is always in front of you while your back is to the sun. As you move, the rainbow that your eye sees moves as well and it will always ‘move away’ at the same speed that you are moving. No matter how hard you try, a rainbow will always be as far away from you as it was before you started to move towards it.

G. To see a rainbow you have to remember some points. First, you should be standing with the sun behind you. Secondly, the rain should be in front of you. The most impressive rainbows appear when half of the sky is still dark with clouds and the other half is clear. The best time to see a rainbow is on a warm day in the early morning after sunrise or late afternoon
before sunset. Rainbows are often seen near waterfalls and fountains.




Предмет: Музыка, автор: SASAGAMES
Предмет: Алгебра, автор: Nika1649