Предмет: Математика,
автор: darya3697
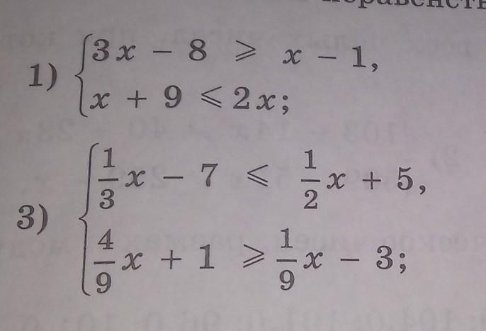
решите все системы
Приложения:
Ответы
Автор ответа:
1
Ответ:
=================================
Пошаговое объяснение:
Приложения:
Автор ответа:
2
Ответ:
Пошаговое объяснение:
Приложения:
Похожие вопросы
Предмет: Русский язык,
автор: blinrus
Предмет: Английский язык,
автор: карюндрик
Предмет: Русский язык,
автор: cokolov20112002
Предмет: Литература,
автор: totu3
Предмет: История,
автор: 192038